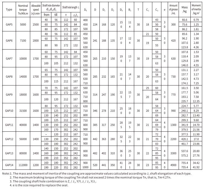
With brake disc, single drumtype gear
Maximum torque: 112,000 N.m
Maximum shaft hole: 220mm
Maximum Diameter of brake disc: 1,000 mm
Efficient Operation
Mechanical components for friction between moving parts







Address
Luotuo Industrial Area, Zhenhai District, Ningbo City, China
Tel
Copyright © Raydafon Technology Group Co.,Limited All Rights Reserved. Links Sitemap RSS XML Privacy Policy