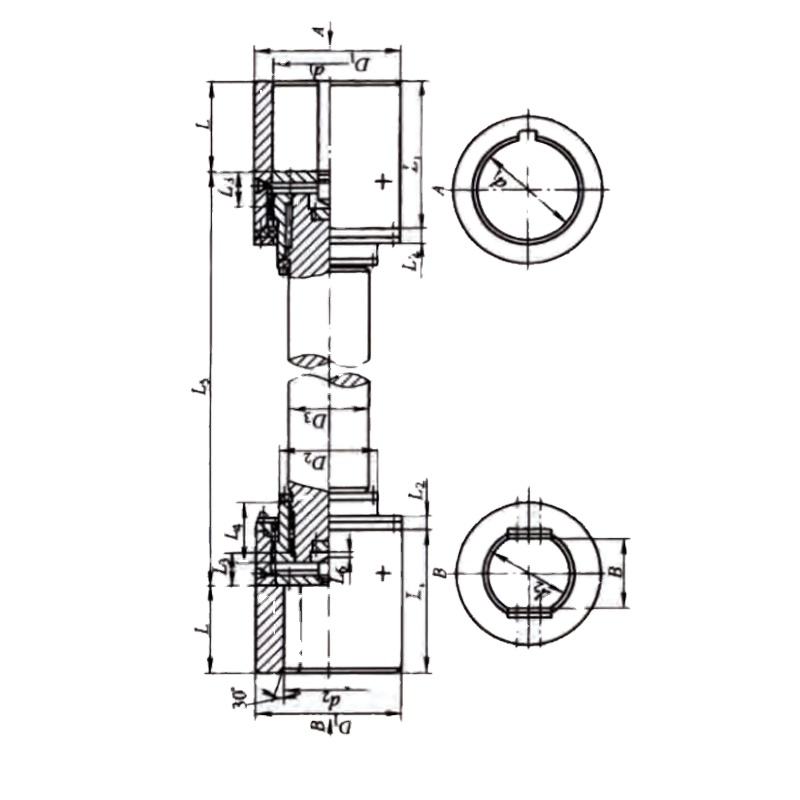
Single sided gear type with brake
wheel:
1. Suitable for matching with brake-shoe brake occasions.
2.Shaft holes can be manufactured
accordingto customer requirements.
GCL-II
Maximum torque:180,000 N.m
Maximum shaft hole: 260 mm
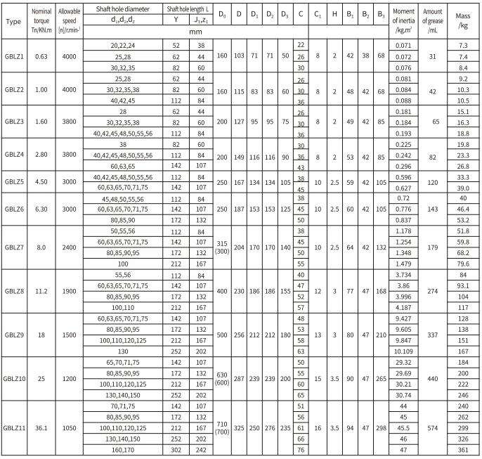
GB LZ
Maximum torque: 125,000 N.m
Maximum shaft hole: 250mm




















