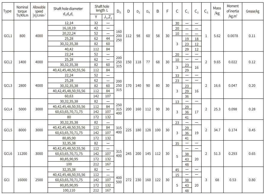
GCL type with disc drumgear coupling,suitable for matching with disc brake occasions, allowing forward and reverse rotation. its
characteristics are: double drum tooth structure, which cancompensate for large axis deviation; The brake disc is arranged in the
passive end ofthe coupling, the weight ofthe brake discand the working brake load and vibration are fully borne by the half
coupling, thus improving the meshing performance ofthedrum teeth during braking,
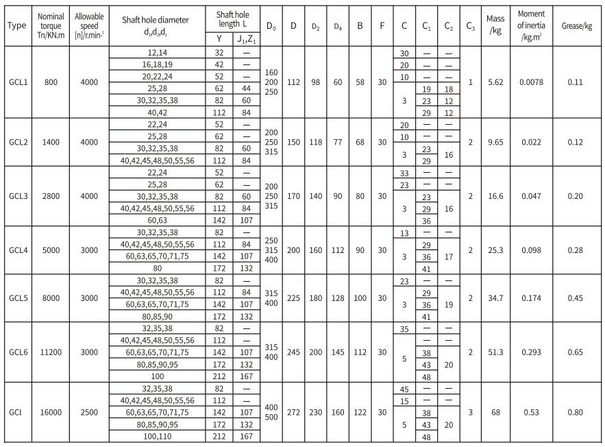
characteristics are: double drum tooth structure, which cancompensate for large axis deviation; The brake disc is arranged in the
passive end ofthe coupling, the weight ofthe brake discand the working brake load and vibration are fully borne by the half
coupling, thus improving the meshing performance ofthedrum teeth during braking,






















